В нашем быстро меняющемся мире люди чувствуют себя защищенно и уверенно только тогда, когда имеют опору, свой островок безопасности. Так, химики имеют опору в виде таблицы Менделеева, математики – в таблице умножения и т.п. Отсутствие или потеря опоры дезориентируют. Достаточно было, например, Лобачевскому заявить, что параллельные прямые – пересекаются… Поэтому большинство людей пытаются зацепиться хотя бы за что-то, и это нормальная безусловная реакция. Другое дело, что они часто находят ложные опоры, миражи, чем часто пользуются нечистые на руку дельцы…
В мире аудио относительно все. Поэтому здесь люди очень часто ищут опору и спасение в измерениях, хотя в большинстве случаев сухие характеристики мало что говорят нам о субъективном восприятии звучания. Более того, в плохих руках они могут сбивать с толку, что чаще всего как раз и случается.
Слепая вера в измерения иногда обретает гротескные формы. Например, когда владелец будущей студии указывает ее проектировщику, что, как и в какой последовательности делать, каким образом и когда проводить измерения и каких результатов поэтапно при этом добиваться. Возникает абсурдная ситуация, ведь такими требованиями перечеркивается манера работы проектировщика, которая не раз помогала ему достигать тех результатов, благодаря которым его и пригласили! Никому же не приходит в голову требовать, например, от скрипача изменить манеру исполнения и играть на скрипке струнами вниз!
Приоритет сухих показателей анализаторов над опытом и интуицией специалиста – плохой фундамент для начала сотрудничества. Один наш заказчик на проектирование небольшого концертного зала, который можно было бы использовать для записи, как мантру, повторял: «Время реверберации RT60 должно быть 1,3 с». Это была его «точка опоры». Как ни старались ему донести, что это ни о чем не говорит вообще, «мантра» повторялась снова и снова. Попробуем разобраться, и через призму студийной практики бегло вспомним об измерении амплитудно-частотных, временных характеристик и времени реверберации (затухания). Начнем с конца.
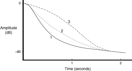
RT60 - это время, необходимое для затухания звуковой волны в помещении до одной миллионной части от своей первоначальной мощности, то есть на 60 дБ. На Рис.1 продемонстрировано реальное время реверберации двух залов. Здесь время реверберации показано относительно частоты, и эти кривые дают определенное представление о «частотных характеристиках» этих залов. Неудивительно, что звучание в зале (а) субъективно воспринимается как более теплое и насыщенное. В то же время звучание здесь не такое разборчивое, как в зале (b), поскольку в первом случае время реверберации на низших частотах намного больше; это делает бас более обогащенным, но скрывает слабые одиночные высокочастотные нюансы. Все это хорошо, но такие графики говорят лишь о том, что происходит на уровне -60 дБ, хотя куда интереснее знать, что происходит во время этого затухания, и тогда наше представление о субъективном качестве звука, которое опирается только на графики по данным стандартного критерия RT60, окажется ложным.
Поэтому придумали другие способы представления реверберации – например, метод построения функции зависимости энергии реверберации от времени. Одним из вариантов такого представления является график Шредера. На Рис.2 показаны графики, более характерные для студийных помещений. На Рис.3 – несколько реальных реверберационных характеристик различных комнат с практически одинаковым значением RT60, но очевидно, что сплошная кривая содержит меньше энергии при затухании, чем другие кривые. В помещении с быстрым начальным спадом будет создаваться меньше реверберации, которая могла бы маскировать звуковые нюансы. С другой стороны, остальные помещения имеют насыщеннее звучание. Поэтому во многих случаях именно более раннее время затухания, необходимое звуку для затухания на 10 дБ, больше говорит об акустике помещения, чем величина RT60, хотя и далеко не все.
Еще одна методика – время раннего затухания (EDT – early decay time) – это тоже время, необходимое для спада на 60 дБ, но оно является результатом экстраполяции (удлинения) прямой линии между отметками -5 дБ и -15 дБ (см. Рис. 4). Если результат окажется больше фактического RT60, то это будет означать, что раннее затухание происходит несколько медленнее среднего значения, и наоборот. Подобные измерения иногда еще называют RT10, даже если результат соответствует времени затухания звука до уровня -60 дБ. Измерения происходят обычно в октавных полосах.
Основной недостаток предыдущих методик в том, что в небольших студийных помещениях возникновение необходимого для формирования реверберации настоящего диффузного поля невозможно. Но энергия мод, отражений и диффузная энергия продолжают влиять на общий характер звука, и измерения все больше переносятся во временной домен. На Рис.5 – график зависимости энергии от времени (energy / time curve – ETC), в котором отдельные доминирующие отражения выглядят как всплески, вздымающиеся над общей кривой. На этих графиках также показан уровень относительно времени, так что можно вычислить необходимое расстояние, а уже после этого определяться с проблемными отражениями и вариантами их обезвреживания.
На Рис.6 показана импульсная характеристика комнаты – простой график зависимости звукового давления от времени. При более внимательном рассмотрении можно увидеть, что этот график несимметричный относительно горизонтальной оси, а сама эта ось многократно пересекается, а в точках пересечения уровень звукового давления соответственно равен нулю. Если прислушаться к затуханию звука в комнате, то выяснится, что на самом деле энергия не затухает между ее перемежающимися всплесками, разделенными «нулевыми» точками; она присутствует в комнате постоянно. По этой причине импульсные колебания необходимо интегрировать воедино, ведь импульсная характеристика показывает только зависимость звукового давления от времени, а в действительности акустическая энергия постоянно меняется между компонентами давления и скорости, как это происходит с перетеканием энергии в случае с маятником. На помощь тут приходят математические формулы и усреднения. Это все достаточно сложно и долго, чтобы на этом останавливаться в рамках этой статьи.
Очень удобны трехмерные графики затухания, поскольку один-единственный график позволяет мгновенно оценить зависимость времени реверберации от частоты, скорость затухания на разной громкости и на разных частотах, а также дает возможность не только увидеть дискретные отражения, но и определить доминирующие диапазоны частот. Они в состоянии показать отдельные резонансы, доминирование отдельных частотных полос. К сожалению, все вышеприведенные методики ничего не говорит о эффектах диффузии и дифракции. Нам все еще почти ничего не известно об эффектах направленности, когда некое «незаметное» отражение может субъективно «резать» слух гораздо больше, чем бесспорно более громкое отражение, которое идет в направлении, не особо активно воспринимающимся на слух; измерительные микрофоны – какими бы сложными они ни были – тоже далеко не так чувствительны, как наши уши. Например, измерительным микрофоном можно «снимать» отражения от пола, однако чувствительность ушей человека к вертикальным отражениям обычно намного меньше, чем к горизонтальным, хотя их энергия и может быть одинаковой. Поэтому результаты тоже будут отличаться.
Наконец, измерения АЧХ. В большинстве случаев нам любят демонстрировать именно это. Не будем здесь останавливаться на инверсной кривой АЧХ, которую генерирует наш мозг; на том, что в современной динамичной музыке гораздо большее значение имеют временные характеристики и тому подобное. Отметим, что на АЧХ имеют большое влияние также реверберационные «хвосты», содержащие в себе неодинаковое усиление / ослабление на разных частотах из-за модальной активности. Аналогично, при соответствующей длине волос мы можем определить, волнистые они или нет. Но если мы говорим о студийных помещениях с временем затухания менее 200 мс, то какое это имеет значение? Иными словами, можем ли мы точно определить степень «волнистости» волос разных людей при длине этих волос, например, 3-5 мм?
Если мы уже затронули тему измерений, то вскользь коснемся измерений коэффициентов поглощения различных материалов. Здесь следует быть крайне осторожным, ведь измерительные комплексы сами по себе недостаточно точны, чтобы на них можно было полностью полагаться. Традиционный метод заключается в размещении хотя бы 10 м2 материала в реверберационной камере, которая имеет длительное время реверберации и практически равномерное распределение энергии при очень низком уровне поглощения отполированных до блеска бетонных стен. Пустое помещение сначала калибруется, а затем измерения повторяются уже с фрагментами звукопоглощающего материала, а коэффициент поглощения вычисляется в зависимости от сокращения времени реверберации. И хотя эта методика используется давно, она ненадежна, так как условия исчисления времени реверберации здесь зависят от равномерности распределения звукопоглощающего материала; задействованными оказываются торцы материала, что увеличивает общую площадь; на краях листов материала проявляется эффект дифракции, что тоже увеличивает измеренный коэффициент поглощения. Кроме того, небольшие участки фрагментов распределенного материала не будут иметь нужного эффекта на более низких частотах, ведь их размеры будут слишком маленькими по сравнению с длиной волны на этих частотах.
Но подтверждаются ли вышеупомянутые предостережения практикой?
На Рис.8 можно увидеть результаты измерений коэффициента поглощения 24-х солидных европейских лабораторий. Расхождения составляют 0,4, и это при шкале измерений от 0 до 1, что вряд ли можно считать нормальным! К тому же указанные измеренные характеристики материалов изменятся из-за условий монтажа и станут непредсказуемыми.
На двух графиках на Рис.9 – время затухания студии дубляжа кинофильмов: первое измерение сделано инженером Dolby Laboratories, а второе – ученым из ISVR, ведущего мирового центра исследований акустики. Первое измерение делалось с помощью двухканального FFT-анализатора, а второе – специализированным RT-анализатором. Заметьте, эти измерения делали опытные профессионалы из авторитетных лабораторий. Комментарии излишни.
Как же тогда появились разногласия на Рис.9? Здесь объяснение одно: нельзя иметь 100-процентной уверенности в измерениях времени затухания, о чем говорят все авторитетные специалисты. Не существует универсальной признанной методики измерения времени затухания на низших частотах в помещениях с очень коротким временем затухания. Филипп Дикинсон сказал: «Мы можем измерить свет от звезды, расположенной в миллионах километров от нас, мы можем измерить время, за которое свет проходит десятую часть миллиметра; мы можем измерить теплоотдачу от свечи на расстоянии в километр с погрешностью 3%; но мы не можем измерить звук даже в жестких условиях лабораторного контроля с точностью большей, чем ± 26% (± 1 дБ в процентном отношении к мощности)».
В то же время в наши дни каждый любитель имеет измерительную программу и «точно знает», как получить правильный результат. Многие интернет-предложения по акустическому дизайну основаны на расчетах, использующих стандартные показатели звукопоглощения и диффузии, без каких-либо поправок на фактические условия использования. Поэтому такие предложения можно рассматривать лишь как общие фразы. Ведь не может же быть, чтобы любители здесь оказались более профессиональными.
Чтобы делать измерения и правильно толковать их результаты – а не просто заниматься измерениями – необходимо иметь большой опыт. Даже если различные измерения показали идентичные результаты, то и в этом случае они могут по-разному восприниматься на слух. Не раз также приходилось наблюдать, как разные специалисты по-разному трактуют результаты одних и тех же измерений. Слишком большое доверие коэффициентам звукопоглощения и цифрам, соответствующим времени реверберации – распространенная ошибка среди любителей. Это не те вещи, которым можно слепо верить.
И если уж говорить о соблюдении определенных параметров при проектировании и строительстве студий, особенно контрольных комнат, то намного (!) важнее четко соблюдать правила и придерживаться определенной концепции проектирования (Non-Environment, LEDE и т.д.), чем полагаться на результаты измерений, сделанных по непонятной методике, трактованных неизвестно кем и неизвестно как.
Что можно сказать в итоге?
Каждая методика измерения имеет свои сильные и слабые стороны.
Графики RT60 демонстрируют соотношение времени и частоты на уровне -60 дБ, но не показывают, что же происходит во время этого затухания.
Графики Шредера дают хорошее представление о средней энергии затухания, но им не хватает точности в демонстрации деталей.
Графики ЕТС четко показывают отдельные отражения, но не совсем хорошо демонстрируют кривую затухания.
Трехмерные графики затухания показывают зависимость уровня от времени и частоты, но они не дают никакой информации о направленности эффектов.
Остерегайтесь чрезмерно полагаться на заявленные характеристики звукопоглощающих материалов.
Даже уважаемые лаборатории не всегда последовательны в своих выводах.
Показатели звукоизоляции и времени реверберации (затухания) при измерениях дают значительную погрешность.
И в завершение, вспомнилось предисловие к одной из книг: «Плохой архитектор прикрывает свою работу фасадом, плохой повар – кетчупом, плохой звукоинженер – реверберацией, плохой хирург – землей». Этот перечень можно продолжить, ведь гораздо легче прикрыть студийный «самострой» цифрами или их толкованием, чем просто спроектировать и сделать хорошую, комфортную, музыкальную студию. Студию, работать в которой – «в кайф».
Хотите найти «точку опоры» в меняющемся студийном мире? Ищите ее не в измерениях, а в опыте своего проектировщика. Хотя и это не абсолют. )
Popularity: 2% [?]








