В нашому мінливому світі люди відчувають себе захищено і впевнено лише тоді, коли мають опору, свій острівець безпеки. Так, хіміки мають опору у вигляді таблиці Менделєєва, математики – в таблиці множення і т.п. Відсутність або втрата опори дезорієнтує. Достатньо було, наприклад, Лобачевському заявити, що паралельні прямі – перетинаються… Тому більшість людей намагаються зачепитись хоча б за щось, і це нормальна безумовна реакція. Інша справа, що вони часто знаходять хибні опори, міражі, чим часто користаються нечисті на руку ділки…

Рис.1
В світі аудіо відносним є все. Тому тут люди дуже часто шукають опору і порятунок у вимірюваннях, хоча в більшості випадків сухі характеристики мало що говорять нам про суб’єктивне сприйняття звучання. Більше того, в поганих руках вони можуть збивати з пантелику, що найчастіше якраз і трапляється.
Сліпа віра у вимірювання інколи набуває гротескних форм. Наприклад, коли власник майбутньої студії вказує її проектувальнику, що, як і в якій послідовності робити, яким чином і коли проводити вимірювання і яких результатів поетапно при цьому добиватись. Виникає абсурдна ситуація, адже такими вимогами перекреслюється манера роботи проектувальника, яка не раз допомагала йому досягати тих результатів, завдяки яким його і запросили! Нікому ж не спадає на думку вимагати, наприклад, від скрипаля змінити манеру виконання і грати на скрипці струнами вниз!
Пріоритет сухих показників аналізаторів над досвідом та інтуіцією спеціаліста – поганий фундамент для початку співробітництва. Один наш замовник на проектування невеликого концертного залу, який би можна було використовувати для запису, ніби мантру, повторював: «Час реверберації RT60 має бути 1,3 с». Це була його «точка опори». Як не намагались йому донести, що це ні про що не говорить взагалі, «мантра» повторювалась знову і знову. Спробуємо розібратись, і через призму студійної практики побіжно згадаємо про вимірювання амплітудно-частотних, часових характеристик та часу реверберації (загасання). Почнемо з кінця.

Рис.2
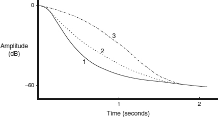
RT60 – це час, потрібний для загасання звукової хвилі в приміщенні до одної мільйонної частини від своєї первісної потужності, тобто на 60 дБ. На Рис.1 продемонстровано реальний час реверберації двох залів. Тут час реверберації показаний відносно частоти, і ці криві дають певну уяву про «частотні характеристики»цих залів. Не дивно, що звучання в залі (а) суб’єктивно сприймається як більш тепле та насичене. В той же час звучання тут менш виразне, ніж в залі (b), оскільки в першому випадку час реверберації на нижчих частотах є набагато більшим; це робить бас більш збагаченим, але приховує слабкі поодинокі високочастотні нюанси. Все це добре, але такі графіки говорять лише про те, що відбувається на рівні -60 дБ, хоча куди цікавіше знати, що відбувається під час цього загасання, і тоді наша уява про суб’єктивну якість звуку, яка опирається лише на графіки з даних стандартного критерія RT60, виявиться хибною.
Тому придумали інші способи подання загасання реверберації – наприклад, метод побудови функції залежності енергії / реверберації від часу. Одним з варіантів такого подання є графік Шрьодера. На Рис.2 показані графіки, більш характерні для студійних приміщень. На Рис.3 – кілька реальних ревербераційних характеристик різних кімнат з практично однаковим значенням RT60, але очевидно, що суцільна крива містить менше енергії при загасанні, ніж інші криві. В приміщенні зі швидшим початковим спадом буде створюватись менше реверберації, яка могла б маскувати звукові нюанси. З іншого боку, решта приміщень мають насиченіше звучання. Тому в багатьох випадках саме більш ранній час загасання, необхідний звуку для загасання на 10 дБ, більше говорить про акустику приміщення, ніж величина RT60, хоча і далеко не все.

Рис.3
Ще одна методика – час раннього загасання (EDT – early decay time) – це теж час, необхідний для спаду на 60 дБ, але він є результатом екстраполяції (подовження) прямої лінії між відмітками -5 дБ та -15 дБ (див. Рис.4). Якщо результат виявиться більшим за фактичний RT60, то це означатиме, що раннє загасання відбувається дещо повільніше за середнє значення, і навпаки. Подібні вимірювання інколи ще називають RT10, навіть якщо результат відповідає часу загасання звуку до рівня -60 дБ. Вимірювання відбуваються зазвичай в октавних смугах.

Рис.4
Основний недолік попередніх методик в тому, що в невеликих студійних приміщеннях виникнення необхідного для формування реверберації справжнього дифузного поля неможливе. Але енергія мод, відбиттів та дифузна енергія продовжують впливати на загальний характер звуку, і вимірювання все більше переносяться в часовий домен. На Рис.5 – графік залежності енергії від часу (energy / time curve - ETC), в якому окремі домінуючі відбиття виглядають немов сплески, що здіймаються над загальною кривою. На цих графіках також показаний рівень відносно часу, так що можна вирахувати необхідну відстань, а вже після цього визначатись з проблемними відбиттями і варіантами їхнього знешкодження.
На Рис.6 показана імпульсна характеристика кімнати – простий графік залежності звукового тиску від часу. При більш уважному розгляді можна побачити, що цей графік несиметричний відносно горизонтальної осі, а сама ця вісь багато разів перетинається, і в точках перетину рівень звукового тиску відповідно дорівнює нулю.
Якщо прислухатись до загасання звуку в кімнаті, то з’ясується, що насправді енергія не загасає між її переміжними сплесками, розділеними «нульовими» точками; вона присутня в кімнаті постійно. З цієї причини імпульсні коливання необхідно інтегрувати воєдино, адже імпульсна характеристика показує лише залежність звукового тиску від часу, а в дійсності акустична енергія постійно змінюється між компонентами тиску і швидкості, як це відбувається з перетіканням енергії у випадку з маятником. На допомогу тут приходять математичні формули та усереднення. Це все досить складно і довго, щоб на цьому зупинятись в рамках цієї статті.

Рис.5
Дуже зручними є тривимірні графіки загасання (Рис.7), оскільки один-єдиний графік дає змогу миттєво оцінити залежність часу реверберації від частоти, швидкість загасання на різній гучності і на різних частотах, а також дає можливість не тільки побачити дискретні відбиття, але й визначити домінуючі діапазони частот. Вони в змозі показати окремі резонанси, домінування окремих частотних смуг, що властиво для будь-яких відбиттів. На жаль, всі вищенаведені методики нічого не говорить про ефекти дифузії та дифракції. Нам все ще майже нічого не відомо про ефекти спрямованості, коли якесь «непомітне» відбиття може суб’єктивно «різати» слух набагато більше, ніж безперечно більш гучне відбиття, яке йде в напрямку, який не особливо активно сприймається на слух, та й вимірювальні мікрофони – якими складними вони би не були – далеко не такі чутливі, як наші вуха. Наприклад, вимірювальним мікрофоном можна «знімати» відбиття від підлоги, однак чутливість вух людини до вертикальних відбиттів зазвичай набагато менша, ніж до горизонтальних, хоч їх енергія і може бути однаковою. Тож результати теж будуть різнитись.

Рис.6
Нарешті, виміри АЧХ. В більшості випадків нам люблять демонструвати саме це. Не будемо тут зупинятись на інверсній кривій АЧХ, яку генерує наш мозок; на тому, що в сучасній динамічній музиці набагато більше значення мають часові характеристики, тощо. Відзначимо, що на АЧХ мають великий вплив також ревербераційні «хвости», що містять в собі неоднакове підсилення/послаблення на різних частотах через модальну активність. Аналогічно таким же чином – при відповідній довжині волосся – ми можемо говорити, хвилясте воно чи ні. Але якщо ми говоримо про студійні приміщення з часом загасання менше 200 мс, то чи має це таке значення? Іншими словами, чи можемо ми точно визначити ступінь «хвилястості» волосся різних людей при довжині цього волосся, наприклад, 3-5 мм?
Якщо ми вже зачепили тему вимірювань, то побіжно торкнемось вимірювань коефіцієнтів поглинання різних матеріалів. Тут слід бути вкрай обережними, адже вимірювальні комплекси самі по собі є недостатньо точними, щоб на них можна було повністю покладатись. Традиційний метод полягає в розміщенні хоча б 10 м2матеріалу в ревербераційній камері, що має тривалий час реверберації і практично рівномірний розподіл енергії при дуже низькому рівні поглинання відполірованих до блиску стін. Порожнє приміщення спочатку калібрується, а потім вимірювання повторюються уже з фрагментами звукопоглинального матеріалу, а коефіцієнт поглинання обчислюється в залежності від скорочення часу реверберації. І хоча ця методика використовується тривалий час, вона ненадійна, тому що умови обчислення часу реверберації тут залежать від рівномірності розподілення звукопоглинального матеріалу; задіяними виявляються торці матеріалу, що збільшує загальну площу; на краях листів матеріалу проявить себе ефект дифракції, що теж збільшить виміряний коефіцієнт поглинання. Крім того, невеликі ділянки розподіленого матеріалу не матимуть потрібного ефекта на нижчих частотах, адже їхні розміри будуть занадто малими в порівнянні з довжиною хвилі на цих частотах.

Рис.7
Але чи підтверджуються вищезгадані перестороги практикою?
На Рис.8 можна побачити результати вимірювань коефіцієнту поглинання в 24-х поважних європейських лабораторіях. Розбіжності складають 0,4, і це при шкалі вимірювань від 0 до 1 навряд чи можна вважати нормальним! До того ж вказані виміряні характеристики матеріалів зміняться через умови монтажу і стануть непередбачуваними.
На двох графіках на Рис.9 – час загасання студії дубляжу кінофільмів: перше вимірювання зроблене інженером з Dolby Laboratories, а друге – вченим з ISVR, який є одним з провідних світових центрів дослядження акустики. Перший вимір робився за допомогою двоканального FFT-аналізатора, а другий – спеціалізованим RT-аналізатором. Зауважте, ці вимірювання робили досвідчені професіонали з авторитетних лабораторій. Коментарі зайві.

Рис.8
Як же тоді з’явились розбіжності на Рис.9? Тут пояснення одне: не можна мати 100-відсоткової впевненості у вимірах часу загасання, про що говорять всі авторитетні спеціалісти. Не існує універсальної визнаної методики вимірювання часу загасання на нижчих частотах в приміщеннях з дуже коротким часом загасання. Філіп Дікінсон казав: «Ми можемо виміряти світло від зірки, що розташована в мільйонах кілометрів від нас; ми можемо виміряти час, за який світло проходить десяту частину міліметра; ми можемо виміряти тепловіддачу від свічки на відстані в кілометр з похибкою 3%; проте ми не можемо виміряти звук навіть за жорстких умов лабораторного контролю з точністю більшою, ніж ±26% (±1 дБ в процентному відношенні до потужності)».
В той же час в наші дні кожен аматор має вимірювальну програму і «точно знає», як отримати правильний результат. Багато інтернет-пропозицій з акустичного дизайну засновані на розрахунках, що використовують стандартні показники звукопоглинання та дифузії, без будь-яких поправок на фактичні умови використання. Тому такі пропозиції можна розглядати лише як загальні фрази. Адже не може ж бути такого, щоб аматори тут виявились більш фаховими.

Рис.9
Щоб робити вимірювання і правильно тлумачити їхні результати – а не просто займатись вимірюваннями – необхідно мати великий досвід. Навіть якщо різні виміри продемонстрували ідентичні результати, то і в цьому випадку вони можуть по-різному сприйматись на слух. Не раз також доводилось спостерігати, як різні спеціалісти по-різному трактують результати тих самих вимірювань. Занадто велике покладання на коефіцієнти звукопоглинання та на цифри, що відповідають часу реверберації – розповсюджена помилка серед аматорів. Це не ті речі, яким можна сліпо вірити.
І якщо вже говорити про дотримання певних параметрів при проектуванні та будівництві студій, а особливо контрольних кімнат, то тут набагато (!) важливіше чітко дотримуватись правил і відповідної концепції побудови (Non-Environment, LEDE, тощо), аніж відповідності результатам вимірювань, зроблених по незрозумілій методиці і розтлумачених невідомо ким і невідомо як.
Що можна сказати в підсумку?
Кожна методика вимірювання має свої сильні і слабкі сторони.
Графіки RT60 демонструють співвідношення часу і частоти на рівні -60 дБ, але не показують, що ж відбувається під час цього загасання.
Графіки Шрьодера дають добре уявлення про середню енергію загасання, але їм не вистачає точності в показові деталей.
Графіки ЕТС чітко показують окремі відбиття, але не зовсім добре демонструють криву загасання.
Тривимірні графіки загасання показують залежність рівня від часу та частоти, але вони не дають ніякої інформації про спрямованість ефектів.
Остерігайтесь надмірного покладання на заявлені характеристики звукопоглинальних матеріалів.
Навіть поважні лабораторії не завжди послідовні в своїх висновках.
Показники звукоізоляції та часу реверберації (загасання) при вимірюванні дають значну похибку.
І на завершення, згадалась передмова до однієї з книжок: «Поганий архітектор прикриває свою роботу фасадом, поганий повар – кетчупом, поганий звукоінженер – реверберацією, поганий хірург – землею». Цей перелік можна продовжити, адже набагато легше прикрити студійний «самобуд» цифрами або їхнім тлумаченням, аніж просто спроектувати та зробити хорошу, комфортну, музикальну студію. Студію, працювати в якій – «в кайф».
Хочете віднайти «точку опори» в мінливому студійному світі? Шукайте її не у вимірюваннях, а в досвіді свого проектувальника. Хоча і це не абсолют. )
Popularity: 8% [?]